Упр.10.10 ГДЗ Мордкович Семенов 11 класс (Алгебра)
Решение #1

Рассмотрим вариант решения задания из учебника Мордкович, Семенов, Александрова 11 класс, Просвещение:
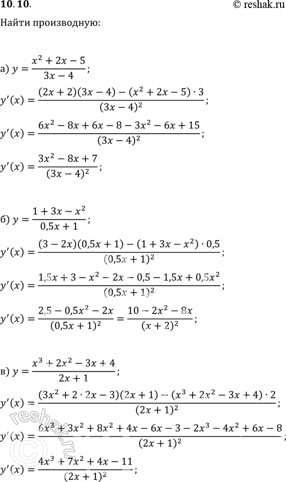
10.10. Используя правила дифференцирования, найдите производную функции:
а) y=(x^2+2x-5)/(3x-4); г) y=(2x^3-x^2+x-3)/(3x-1);
б) y=(1+3x-x^2)/(0,5x+1); д) y=(x^2-7x+5)/(2x^2-1);
в) y=(x^3+2x^2-3x+4)/(2x+1); е) y=(x^3+2x^2-3x)/(x^2+x).
*размещая тексты в комментариях ниже, вы автоматически соглашаетесь с пользовательским соглашением