Упр.10.14 ГДЗ Мордкович Семенов 11 класс (Алгебра)
Решение #1

Рассмотрим вариант решения задания из учебника Мордкович, Семенов, Александрова 11 класс, Просвещение:
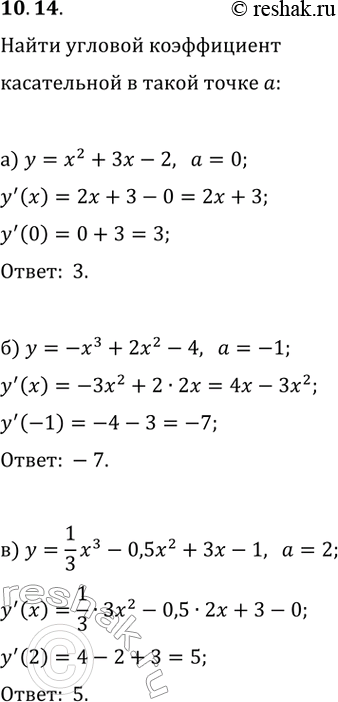
10.14. Найдите угловой коэффициент касательной к графику данной функции в точке с абсциссой а:
а) y=x^2+3x-2, a=0;
б) y=-x^3+2x^2-4, a=-1;
в) y=(1/3)x^3-0,5x^2+3x-1, a=2;
г) y=-x^2+4x+3, a=1;
д) y=x^3-x^2+2, a=-2;
е) y=-2x^3+x^2-x+1, a=1.
*размещая тексты в комментариях ниже, вы автоматически соглашаетесь с пользовательским соглашением