Упр.12.14 ГДЗ Мордкович Семенов 11 класс (Алгебра)
Решение #1

Рассмотрим вариант решения задания из учебника Мордкович, Семенов, Александрова 11 класс, Просвещение:
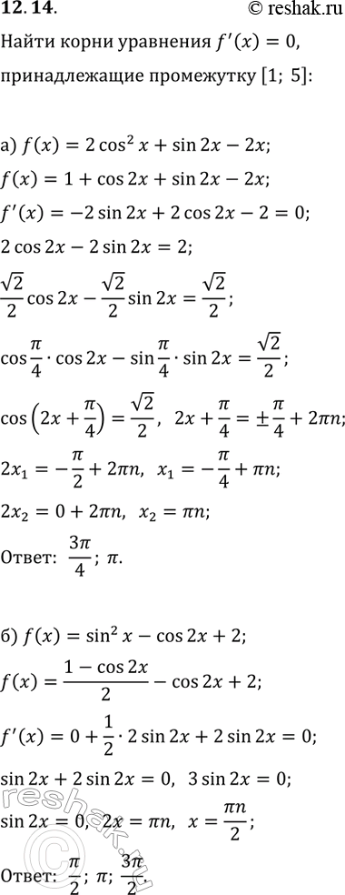
12.14. Найдите корни уравнения f'(x)=0, принадлежащие промежутку [1; 5], если функция задана формулой:
а) f(x)=2cos^2(x)+sin(2x)-2x;
б) f(x)=sin^2(x)-cos(2x)+2.
*размещая тексты в комментариях ниже, вы автоматически соглашаетесь с пользовательским соглашением