Упр.163 ГДЗ Колягин Ткачёва 11 класс (Алгебра)
Решение #1
Решение #2

Рассмотрим вариант решения задания из учебника Колягин, Ткачёва, Фёдорова 11 класс, Просвещение:
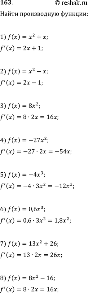
163. Найти производную функции:
1) х2 + х;
2)х2-х;
3) 8х2;
4) - 27х2;
5) -4х3;
6) 0,6x3;
7) 13x2 + 26;
8) 8x2- 16.
*размещая тексты в комментариях ниже, вы автоматически соглашаетесь с пользовательским соглашением