Упр.180 ГДЗ Колягин Ткачёва 11 класс (Алгебра)
Решение #1
Решение #2

Рассмотрим вариант решения задания из учебника Колягин, Ткачёва, Фёдорова 11 класс, Просвещение:
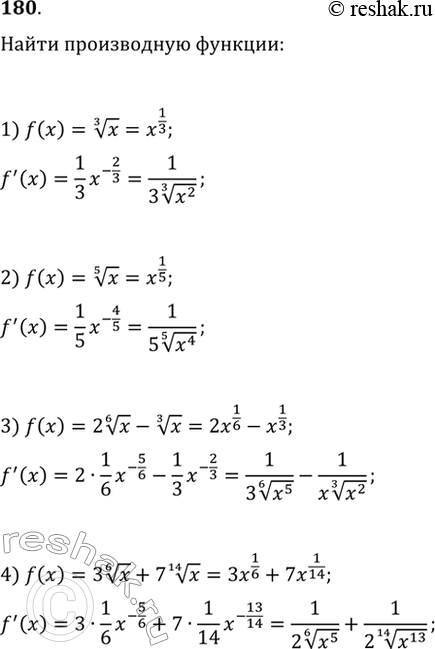
180. 1) корень 3 степени x;
2) корень 5 степени x;
3) 2 корень 6 степени x - корень 3 степени x;
4) 3 корень 6 степени + 7 корень 14 степени x;
5) 2/5 корень x;
6) 1/x корень x;
7) x3+1/x;
8) x4 - корень x/x
*размещая тексты в комментариях ниже, вы автоматически соглашаетесь с пользовательским соглашением