Упр.188 ГДЗ Колягин Ткачёва 11 класс (Алгебра)
Решение #1
Решение #2

Рассмотрим вариант решения задания из учебника Колягин, Ткачёва, Фёдорова 11 класс, Просвещение:
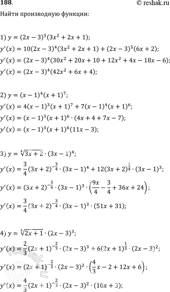
188. 1) (2х - З)5 (3х2 + 2х + 1);
2) (х - 1)4 (х + 1)7;
3) корень 4 степени 3x + 2 (3x-1)4;
4) корень 3 степени 2x+1 * (2х - 3)3.
*размещая тексты в комментариях ниже, вы автоматически соглашаетесь с пользовательским соглашением