Упр.207 ГДЗ Колягин Ткачёва 11 класс (Алгебра)
Решение #1
Решение #2

Рассмотрим вариант решения задания из учебника Колягин, Ткачёва, Фёдорова 11 класс, Просвещение:
207. 1) e^1/x-1;
2) ln(3-4x2);
3) e^2/x+1;
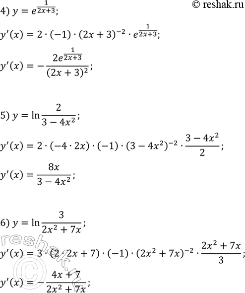
4) e^1/2x+3;
5) ln 2/3-4x2;
6) ln 3/2x2+7x.
*размещая тексты в комментариях ниже, вы автоматически соглашаетесь с пользовательским соглашением