Упр.22.13 ГДЗ Мордкович Семенов 11 класс (Алгебра)
Решение #1

Рассмотрим вариант решения задания из учебника Мордкович, Семенов, Александрова 11 класс, Просвещение:
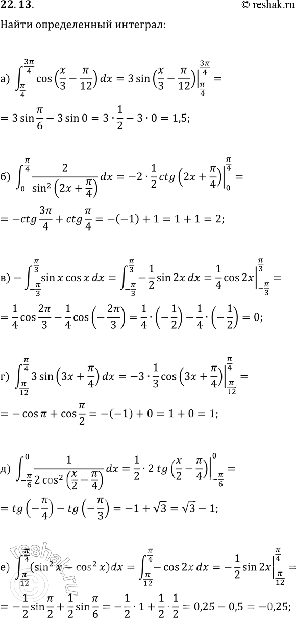
22.13. Используя формулу Ньютона — Лейбница, вычислите определённый интеграл:
а) (?/4,3?/4)?cos(x/3-?/12)dx; г) (?/12,?/4)?3sin(3x+?/4)dx;
б) (0,?/4)?2/sin^2(2x+?/4)dx; д) (-?/6,0)?1/(2cos^2(x/2-?/4))dx;
в) -(-?/3,?/3)?sin(x)cos(x)dx; е) (?/12,?/4)?(sin^2(x)-cos^2(x))dx.
*размещая тексты в комментариях ниже, вы автоматически соглашаетесь с пользовательским соглашением