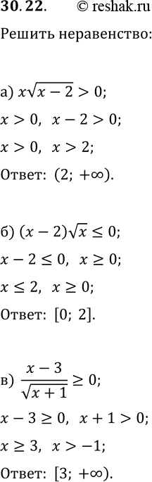
Упр.30.22 ГДЗ Мордкович Семенов 11 класс (Алгебра)
Решение #1

Рассмотрим вариант решения задания из учебника Мордкович, Семенов, Александрова 11 класс, Просвещение:
30.22. Решите неравенство:
а) xv(x-2)>0; г) xv(x+3)<0;
б) (x-2)vx?0; д) (x+3)v(x-1)?0;
в) (x-3)/v(x+1)?0; е) (x+1)/v(x-2)?0.
*размещая тексты в комментариях ниже, вы автоматически соглашаетесь с пользовательским соглашением