Упр.329 ГДЗ Колягин Ткачёва 11 класс (Алгебра)
Решение #1
Решение #2

Рассмотрим вариант решения задания из учебника Колягин, Ткачёва, Фёдорова 11 класс, Просвещение:
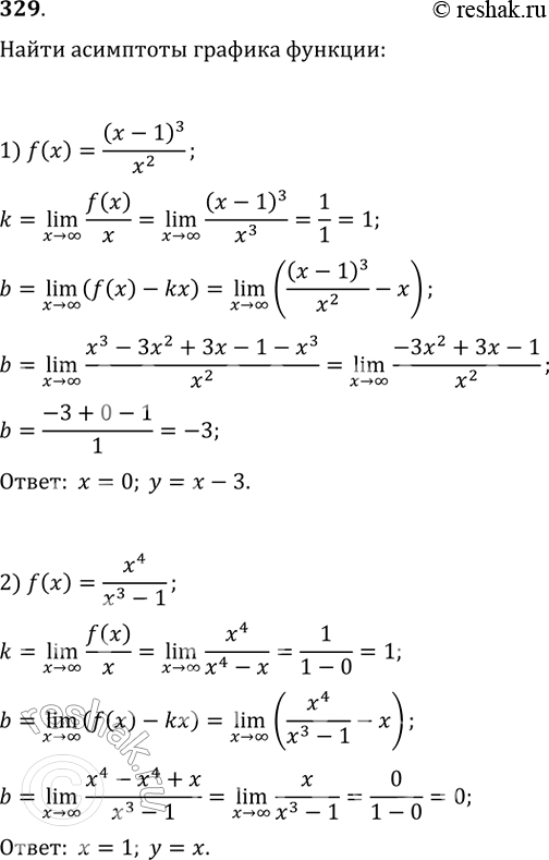
329. Найти асимптоты графика функции:
1) f(x) = (x-1)3/x;
2) f(x) = x4/x3-1.
*размещая тексты в комментариях ниже, вы автоматически соглашаетесь с пользовательским соглашением