Упр.36 ГДЗ Колягин Ткачёва 11 класс (Алгебра)
Решение #1
Решение #2

Рассмотрим вариант решения задания из учебника Колягин, Ткачёва, Фёдорова 11 класс, Просвещение:
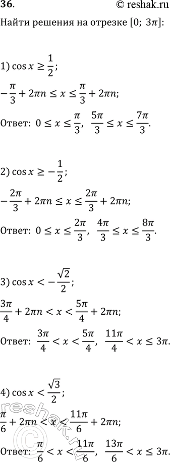
36. Найти все принадлежащие отрезку [О; 3пи] решения неравенства:
1) cos х >= 1/2;
2) cos х >= -1/2;
3) cos х < — корень 2/2;
4) cos х < корень 3/2.
*размещая тексты в комментариях ниже, вы автоматически соглашаетесь с пользовательским соглашением