Упр.42 ГДЗ Колягин Ткачёва 11 класс (Алгебра)
Решение #1
Решение #2

Рассмотрим вариант решения задания из учебника Колягин, Ткачёва, Фёдорова 11 класс, Просвещение:
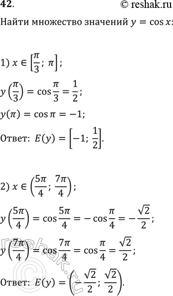
42. Найти множество значений функции у = cosx, если х принадлежит промежутку:
1) [пи/3;пи];
2) (5пи/4;7пи/4).
*размещая тексты в комментариях ниже, вы автоматически соглашаетесь с пользовательским соглашением