Упр.52 ГДЗ Колягин Ткачёва 11 класс (Алгебра)
Решение #1
Решение #2

Рассмотрим вариант решения задания из учебника Колягин, Ткачёва, Фёдорова 11 класс, Просвещение:
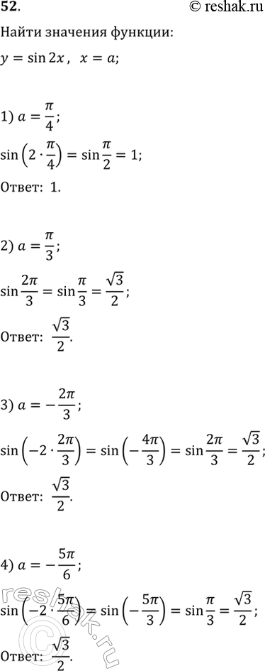
52. Найти значения функции y = sin2x при:
1) x = пи/4;
2) х = пи/3;
3) x = -2пи/3;
4) x = -5пи/6.
*размещая тексты в комментариях ниже, вы автоматически соглашаетесь с пользовательским соглашением