Упр.610 ГДЗ Никольский Потапов 8 класс (Алгебра)
Решение #1

Рассмотрим вариант решения задания из учебника Никольский, Потапов 8 класс, Просвещение:
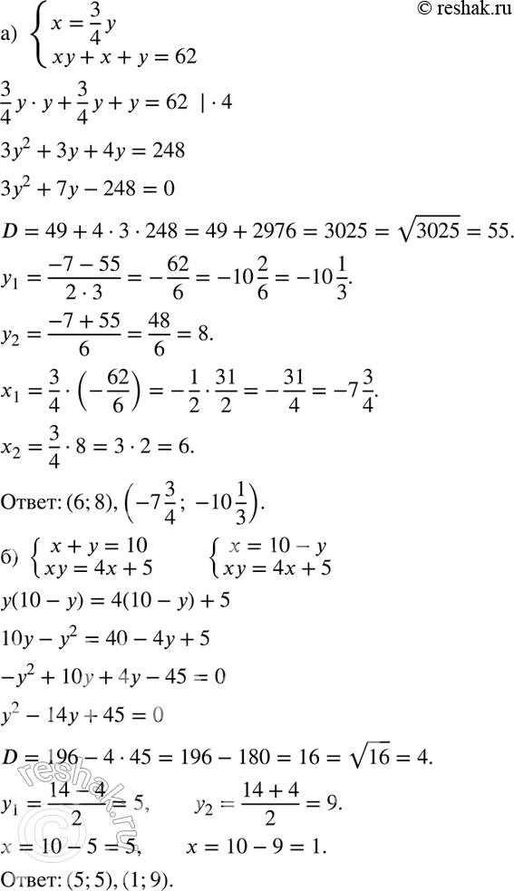
610 Из «Алгебры» аль-Караджи (XI в.).
а) система
x=3/4*y,
xy+x+y=62;
б) система
x+y=10,
xy=4x+5.
*размещая тексты в комментариях ниже, вы автоматически соглашаетесь с пользовательским соглашением