Упр.648 ГДЗ Никольский Потапов 8 класс (Алгебра)
Решение #1

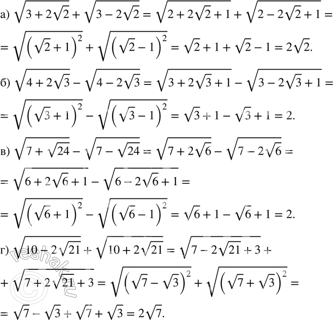
Рассмотрим вариант решения задания из учебника Никольский, Потапов 8 класс, Просвещение:
648 а) корень (3+2 корень 2)) + корень (3 - 2 корень 2));
б) корень (4+2 корень 3)) - корень (4 - 2 корень 3));
в) корень (7+ корень 24)) - корень (7 - корень 24));
г) корень (10 - 2 корень 21)) - корень (10 + 2 корень 21)).
*размещая тексты в комментариях ниже, вы автоматически соглашаетесь с пользовательским соглашением