Упр.675 ГДЗ Колягин Ткачёва 11 класс (Алгебра)
Решение #1
Решение #2

Рассмотрим вариант решения задания из учебника Колягин, Ткачёва, Фёдорова 11 класс, Просвещение:
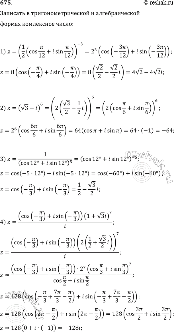
675. Записать в тригонометрической и алгебраической формах комплексное число:
1) z=(1/2(cos пи/12 + isin пи//12))-3;
2) z=( корень 3 - i)6;
3) z= 1/(cos12 + isin12);
4) z=(cos(-пи/3) + isin (-пи/3))(1+ корень 3i)7.
*размещая тексты в комментариях ниже, вы автоматически соглашаетесь с пользовательским соглашением