Упр.7.20 ГДЗ Никольский Потапов 11 класс (Алгебра)
Решение #1
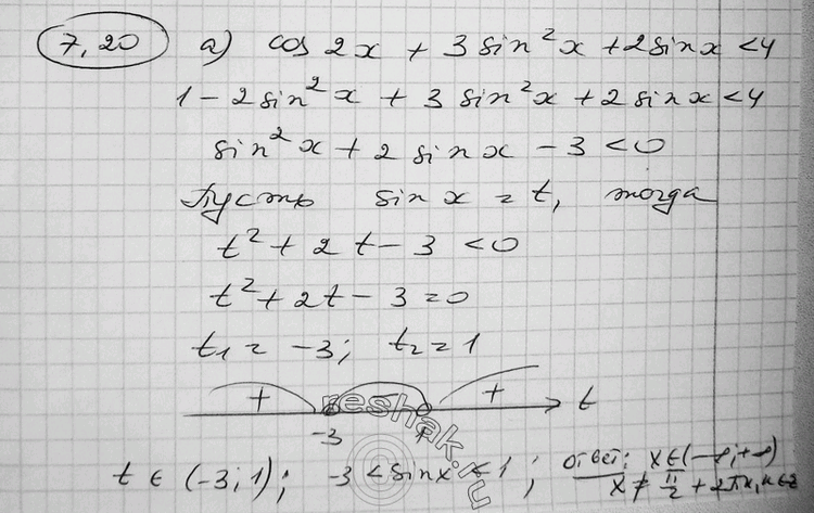
Решение #2

Рассмотрим вариант решения задания из учебника Никольский, Потапов 11 класс, Просвещение:
7.20* а) cos 2х + 3 sin2 х + 2 sin х < 4; б) cos 2х - cos2х - 2 cos х < -2.
*размещая тексты в комментариях ниже, вы автоматически соглашаетесь с пользовательским соглашением