Упр.724 ГДЗ Никольский Потапов 7 класс (Алгебра)
Решение #1

Рассмотрим вариант решения задания из учебника Никольский, Потапов 7 класс, Просвещение:
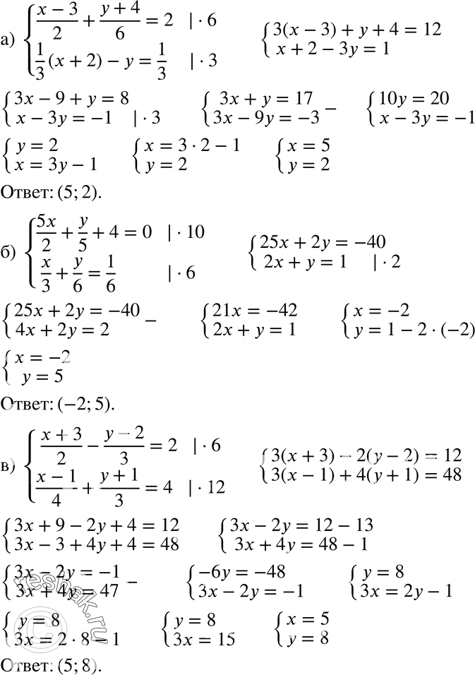
724 а) система
(x-3)/2 + (y+4)/6=2,
1/3*(x+2)-y=1/3;
б) система
5x/2+y/5+4=0,
x/3+y/6=1/6;
в) система
(x+3)/2 - (y-2)/3-2,
(x-1)/4 + (y+1)/3=4;
г) система
(x+y)/9-(x-y)/3=2,
(2x-y)/6-(3x+2y)/3=-20;
д) система
2x/9+y/4=0,
5x/12+y/3=1;
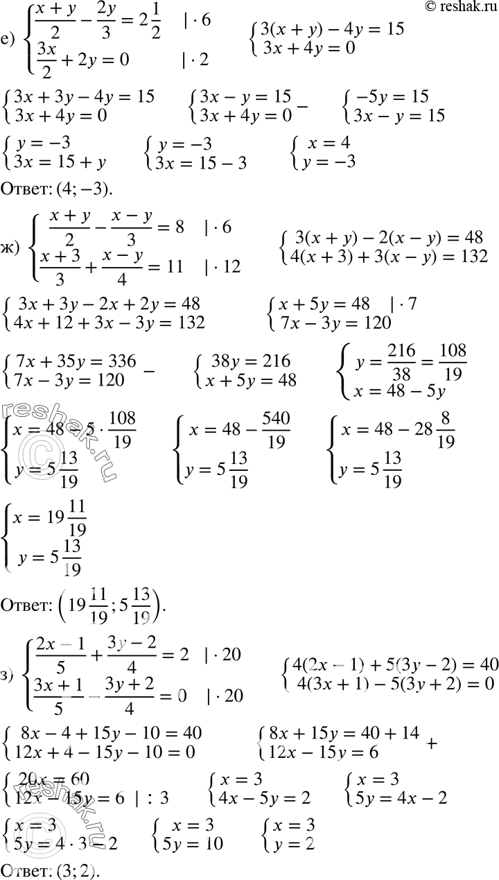
е) система
(x+y)/2-2y/3=2*1/2,
3x/2+2y=0;
ж) система
(x+y)/2-(x-y)/3=8,
(x+3)3+(x-y)/4=11;
з) система
(2x-1)/5-(3y+2)/4=0,
(3x+1)/5 - (3y+2)/4=0.
*размещая тексты в комментариях ниже, вы автоматически соглашаетесь с пользовательским соглашением