Упр.773 ГДЗ Колягин Ткачёва 11 класс (Алгебра)
Решение #1
Решение #2

Рассмотрим вариант решения задания из учебника Колягин, Ткачёва, Фёдорова 11 класс, Просвещение:
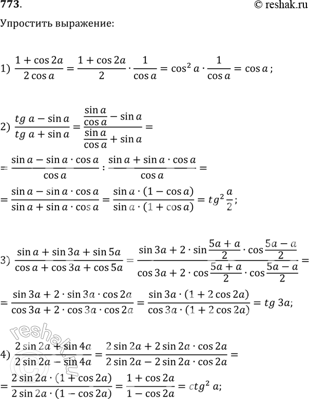
773. 1) 1+cos2a/2cosa;
2) tga-sina/tga+sina;
3) sina + sin3a+sin5a/cosa + cos3a + cos5a;
4) 2sin2a + sin4a/2sin2a - sin4a.
*размещая тексты в комментариях ниже, вы автоматически соглашаетесь с пользовательским соглашением