Упр.780 ГДЗ Колягин Ткачёва 11 класс (Алгебра)
Решение #1
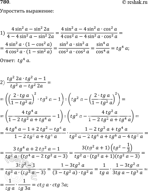
Решение #2

Рассмотрим вариант решения задания из учебника Колягин, Ткачёва, Фёдорова 11 класс, Просвещение:
780 1) 4sin2a - sin2 2a/4-4sin2a - sin2 2a;
2) tg2 2atg2a - 1/tg2a - tg2 2a.
*размещая тексты в комментариях ниже, вы автоматически соглашаетесь с пользовательским соглашением