Упр.803 ГДЗ Никольский Потапов 8 класс (Алгебра)
Решение #1

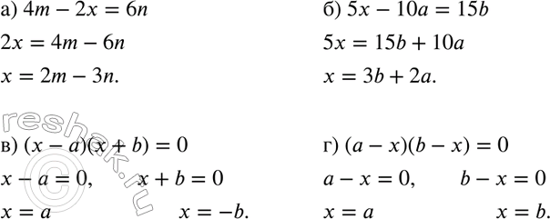
Рассмотрим вариант решения задания из учебника Никольский, Потапов 8 класс, Просвещение:
803. Считая m, n, а и b данными числами, решите уравнение с неизвестным х:
а) 4m - 2х = 6n;
б) 5х - 10а = 15b;
в) (х - а)(х + b) = 0;
г) (а - х)(b - х) = 0.
*размещая тексты в комментариях ниже, вы автоматически соглашаетесь с пользовательским соглашением