Упр.840 ГДЗ Никольский Потапов 8 класс (Алгебра)
Решение #1

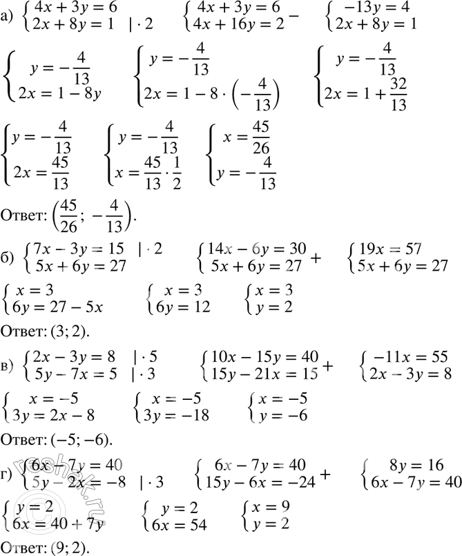
Рассмотрим вариант решения задания из учебника Никольский, Потапов 8 класс, Просвещение:
Решите систему уравнений (840—841):
840 а) система
4x+3y=6,
2x+8y=1;
б) система
7x-3y=15,
5x+6y=27;
в) система
2x-3y=8,
5y-7x=5;
г) система
6x-7y=40,
5y-2x=-8.
*размещая тексты в комментариях ниже, вы автоматически соглашаетесь с пользовательским соглашением