Упр.849 ГДЗ Колягин Ткачёва 11 класс (Алгебра)
Решение #1
Решение #2

Рассмотрим вариант решения задания из учебника Колягин, Ткачёва, Фёдорова 11 класс, Просвещение:
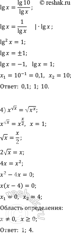
849 1) xlgx = 10;
2) xlog3x = 9x;
3) xlgx - 1 = 10(1-x-lgx);
4) x корень x = корень xx.
*размещая тексты в комментариях ниже, вы автоматически соглашаетесь с пользовательским соглашением