Упр.9.15 ГДЗ Мордкович Семенов 11 класс (Алгебра)
Решение #1

Рассмотрим вариант решения задания из учебника Мордкович, Семенов, Александрова 11 класс, Просвещение:
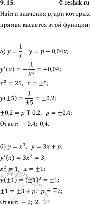
9.15. а) Найдите значения параметра р, при каждом из которых прямая y=p-0,04x касается гиперболы y=1/x.
б) Найдите значения параметра р, при каждом из которых прямая y=3x+p касается кубической параболы y=x^3.
*размещая тексты в комментариях ниже, вы автоматически соглашаетесь с пользовательским соглашением